2.3.6. Klimatske zone i vanjska projektna temperatura

22 - 23
Pri proračunu toplinskih gubitaka u obzir se mora uzeti vanjska temperatura dotičnog mjesta. Ta vanjska temperatura naziva se vanjska projektna temperatura (VPT), a dobiva se na temelju višegodišnjeg ispitivanja klimatskih uvjeta određenih područja, prema sljedećoj jednadžbi:

Gdje je:
tvsr … °C – srednja vanjska temperatura najhladnijeg mjeseca u godini
tvmin … °C – minimalna vanjska temperatura u zimskom razdoblju
Prema vanjskoj projektnoj temperaturi (VPT), u Hrvatskoj postoje tri graditeljske zone:
-
Zona: do - 12 °C
-
Zona: do - 18 °C
-
Zona: do - 24 °C
Grijaći stupanj dana (GSD)
Gledajući klimatske zone, i broj grijaćih dana tijekom godine je različit, ovisno u kojem se području nalazimo, a definira se grijaćim stupnjem dana (GSD).
Grijaći stupanj dana (GSD) je umnožak broja grijaćih dana i razlike između srednje temperature i srednje vanjske temperature za vremensko razdoblje u kojem se grijemo:
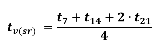
Srednja vanjska temperatura od tv(sr) = 15 °C je temperatura granica početka i kraja sezone grijanja:
Brojevi 7, 14 i 21 predstavljaju vrijeme dana kada se mjeri temperatura, dakle dnevna temperatura mjerenja u 7h, 14 h i 21 h.

Create Your Own Website With Webador